公司新闻 行业动态

UV/湿气双重固化胶研究现况

日期: 2025-8-14 - 【返回

PART 01 简单介绍

—— 图1:三种UV胶粘剂 ——

本文介绍UV光固化胶粘剂。这种胶粘剂的胶粘原理在于,让紫外线(UV光),引发单体或者低聚物使其产生自由基,成为活性种,进而引发低聚物或者单体之间的聚合反应与交联反应,从而形成固化的结果,从反应机理上看,这其实是一种自由基交联的应用。UV光固化胶粘剂在固化的过程之中,无污染、节能环保、固化速度也快、应用也广泛,未来的发展潜力也巨大。[1]

—— 图2:应用场景 ——

二十世纪四十年代,开始系统性研究光聚合反应,而光固化——UV光固化胶粘剂的原理——是光聚合反应的一种。二十世纪七十年代开始,因为光引发剂大力推广了,所以UV光固化技术得到了充分的发展。早期的UV胶应用在一次性的医疗器械当中,而目前和未来将应用在电子行业。
PART 02 存在的问题

图3:聚氨酯型UV/湿气双重固化胶粘剂的固化机理

正是因为目前UV光固化胶粘剂应用多元化,所以它正处在一个新的发展时期的前端,这个时候仍有许多问题尚未得到完全的解决。比如,UV胶的收缩率高,可能导致材料构件局部变形或应力集中,耐光性较差,这又会导致材料可能在光照下使用一段时间之后胶合之处老化脆断,导致胶粘失效。它的耐湿热性也不好,这就导致了它无法用在较高温的场景里面,而一些电子元件在使用的时候会发热,这种发热也会使得局部温度升高,挑战UV胶的热稳定性。此外还有上文提到的一些问题,比如受粘结工件形状和透光性的限制之类的问题,而这些问题已经通过UV/湿气双重固化胶粘剂得到了一定的缓解。
从机理的角度看,UV/湿气双重固化胶粘剂含有可光固化基团以及可湿气固化基团,前者可以是丙烯酸酯,后者可以是其氰酸酯或者硅氧烷,拥有两种固化集团可以让他实现双重固化。当UV光和光引发剂相互配合下,引发了可光固化基团聚合实现第一步光固化,随后只需要将其在室温下放置,这个时候空气中的水分会和胶粘剂当中的可湿气固化基团进行反应,实现第二步固化,也叫后固化,提升交联网状密度的同时也会提升分子量,从而使得固化程度、粘结强度也得到了很大的提升。[2]
PART 03 研究现况
研究过程

——图4:UV固化机理——

UV胶粘剂的制备有许多限制。在光固化过程当中,要求液体全部固化交联,无所释放,这就需要引入光引发剂以及需要强光照射这两个条件。而强光照射这个条件并不是很容易就能够满足,因为粘合剂必然处在被粘合物体的中间,这就导致光可能不会完全照进来,导致固化不完全,而且由于现在UV胶粘剂已经用于粘合一些不规则的异型件,在粘合异型件的时候,UV光难以到达所有胶粘剂覆盖的地方,这使得固化并不完全。
为了解决这样的问题,引入UV/湿气双重固化胶粘剂是必要的。
研究方法1

—— 图5 湿气固化机理[14] ——

上文已经介绍了,可湿气固化的气团有两种,一种是异氰酸酯基团,另一种是硅氧烷基团,接下来分别介绍这两种。
在UV/湿气双重固化胶因为采用了两种树脂复配,这导致了体系的相容性和固化均匀性出了问题。为解决这一问题,最好的办法就是搞拥有两种官能团的杂化树脂代替原有的两种树脂,代表的产品就是聚氨酯胶粘剂。
GE[6]等人以[OH]/[NCO]比1:2由JHY-20和IPDI合成预聚物。在氮气气氛下,反应在85°C下进行4小时。分别添加DBTDL和HQ作为催化剂和抑制剂。然后将HEMA加入预聚物的混合物中,以提供0.7:1的[OH]/[NCO]比,在60°C下再持续3小时,合成的低聚物含有碳双键以及异氰酸酯基团。[7][8]

图6异氰酸酯湿气固化机理[16]

测试方法:紫外线/水分固化行为按以下顺序进行,首先通过高压汞灯(1000 W/cm)进行紫外线固化:灯和样品之间的距离为20 cm,连续照射的时间为40 s,紫外线固化能量约为800 mJ cm-2。UV固化后,在25℃和50%相对湿度(RH)的相同条件下进行7天的湿固化。[9]

图7试样的形状和尺寸

研究过程

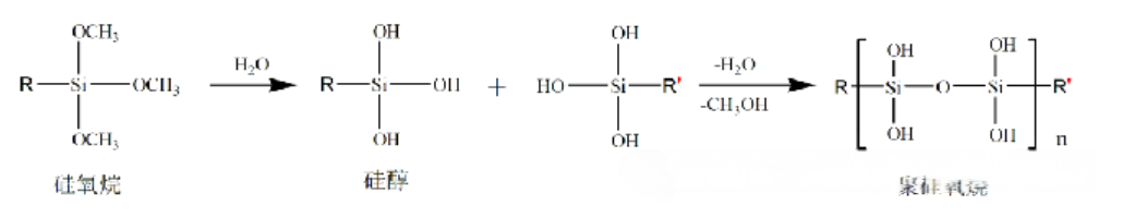
—— 图8 硅氧烷固化机理[15] ——

UV/湿固化有机硅胶粘剂对PET具有良好粘附性的原因是物理和化学的综合作用。我们可以从以下几个方面进行分析:首先,有机硅改性低聚物具有低表面能,这是实现基材表面完美润湿的关键因素。当然,配方的低粘度也有助于润湿基材表面。如图4b所示,由于低表面能和低粘度,可以实现良好的润湿。

图9基材的不同表面润湿情况

合适的湿固化剂可以促进湿固化过程,异氰酸酯基团与基材表面的活性氢反应形成了许多强极性基团[10]。这些基团也容易与底物形成二次键。此外,DMAA等反应性稀释剂会侵蚀PET基材的表面。在这种情况下,粘合剂体系的交叉结构有利于形成互穿聚合物网络(IPN)和PET分子的交联网络[11]。交联密度增加,内应力也增加,不利于粘附[12]

图10互穿聚合物网络的形成过程

而聚硅氧烷有着优异的耐介电性、绝缘性,随着半导体行业的发展,这个也会成为一个研究的热点。
ZONG等人在氮气气氛下,将PPG 400和DMC加入到反应器中。将温度升至150℃,并连续加入VCHO和PO。反应压力保持在0.3MPa以下。反应2小时后,将温度冷却至室温,得到VPOL。[13]

图11VPOL合成反应方案

通过硫烯点击反应,用VPOL和KH590合成SPOL。将KH590、VPOL和TPO加入到装有机械搅拌器、热电偶和氮气入口的250 mL四颈圆底烧瓶中。然后,在室温下在紫外灯(250 W,k¼365 nm)下照射反应1小时。

图12SPOL合成的反应方案

然后将IPDI、MEHQ和DBTDL全部缓慢加入干燥烧瓶中,并在20℃下搅拌。
将HEMA或PETA滴入烧瓶中4小时。添加完成后,反应在40℃下恒定,直至异氰酸酯含量达到理论值。最后,加入SPOL并在90℃下搅拌得到DPUA。

图13DPUA的合成方案

测试方法:将DPUA、DBTDL和TPO在玻璃容器中在室温下混合并搅拌,在矩形玻璃基板上制备DPUA薄膜。在固化过程中,将样品暴露在2 kW的紫外线灯下并照射35秒(紫外线灯的波长为365 nm,紫外线强度为134 mW/cm2)。光引发剂的分解产生自由基,引发自由基聚合,产生交联网络。紫外线固化过程后,将样品置于室温下60%相对湿度的环境中7天,进行活性甲氧基硅烷的湿固化反应。
PART 04 发展趋势

—— 图14UV胶测试 ——

未来的话,UV胶可能回朝着多重固化、环保化、多功能化、高效率化等方向进行发展。多重固化是比双重固化更加进一步固化交联,这让粘合过程中尽量避免掉光固化交联反应的死角的产生,势必UV/湿气双重固化更加先进的技术。而环保化其实是针对UV胶在固化时可能会少部分逸出的气态助剂的小分子,也包括在生产方面的排放污染。此外,因为应用日益多元化,那么同样UV胶也在朝着多功能化的道路上发展。
具体而言,多功能化的UV胶有很多品种,最近开发出来的UV/厌氧双重固化型胶粘剂[3]就是一种,比如段雪蕾等制备了PUA基德厌氧胶第一阶段是光固化,第二阶段是厌氧固化,所得到的产品具有很高的剪切强度,以及完全固化的能力。而且UV胶也在口腔医学[4]当中使用,MIZOBUCHI等人用无机填料、单体、光引发剂、光活性树脂制备UV胶,用来修复牙齿,这要求UV胶能够适应口腔的温度变化、水分环境以及机械应力变化等等要素。此外,光刻胶[5]也是UV胶的一种,随着国家对于半导体行业的重视,光刻胶也会得到深远的发展。


参考文献

[1]李建波.UV光固化胶粘剂的研究进展 [J]. 中国胶粘剂, 2023, 32(4):54-67
[2]聂俊,朱晓群,等 .光固化技术与应用[M].北京:化学工业出版社,2020.
[3]段雪蕾,李会录,张亚光,等.UV厌氧胶的制备及其影响因素研究[J].中国胶粘剂,2012,21(2):39-43.
[4]MIZOBUCHI S,KATO T,YAMADA B,et al.Influence of the nanostructural characteristics of inorganic fillers on the physical properties of resin cements[J]. Dental Materials Journal,2023,42(2):291-299.
[5]文帅,刘强 . 极紫外(EUV)光刻胶树脂及合成方法进展[J].影像科学与光化学,2021,39(4):504-511.
[6]Lin YH, Liao KH, Chou NK, Wang SS, Chu SH, Hsieh KH (2008) UV-curable low-surface-energy fluorinated poly(urethane–acrylate)s for biomedical applications. Eur Polym J 44:2927–2937
[7]Kwok DY, Neumann AW (1999) Contact angle measurement and contact angle interpretation. Adv Colloid Interface 3:167–249
[8]Joo HS, Park YJ, Do HS, Kim HJ, Song SY, Choi KY (2007) The curing performance of UV-curable semi-interpenetrating polymer network structured acrylic pressure-sensitive adhesives. J Adhes Sci Technol 21:575–588
[9]Karasu F, Croutxe´-Barghorn C, Allonas X, Ven L (2014) Free radical photopolymerization initiated by UV and LED: towards UV stabilized, tack free coatings. J Polym Sci Pol Chem 52:3597–3607
[10]Hao JQ, Osamu H (2001) UV curable silicone adhesive for difficult to bond materials. Rad Tech Asia 2001-Proceedings of the 8th International Conference on Radiation Curing
[11]Li MR, Zheng Z, Liu SJ, Su YZ, Wei W, Wang XL (2012) Polyurethane (urea)/polyacrylates interpenetrating polymer network (IPN) adhesives for low surface energy materials. Polym Adv Technol 23:1077–1083
[12]Chun JH, Cheon JM, Jeong BY, Jo NJ (2016) The effect of 3-isocyanato-1-propene on adhesive properties of UV-curing urethane/siloxane acrylate resin. J Nanosci Nanotechnol 3:2687–2691
[13]ZONG H L,FANG C,LIN Z X,et al. Synthesis and properties of a novel UV/moisture dual-curable polyurethane resin derived from vinyl-based polyether polyol[J]. Journal of Adhesion Science and Technology,2021,35(8):807-823.
[14] Moon H. Park J. E, Cho W. et al. Curing lünetics and structure-property relationship of
moisture-cured one-component polyurethane adhesives[/1. European Polymer Journal, 2023,
201:112579.
[15] Bian F. Li X, Zhao J, et al Synthesis of epoxy based silicone prepolymers with UV/moisture
dual curability for applications in anti-graffiti coarings[I]. Reactive and Functional Polymers,
2022,180:105396.
[16] Huang X, Peng S, Zheng L, et al 3D printing of high viscosity UV-curable resin for highly
stretchable and resilient elastomer[J]. Advanced Materials. 2023, 35: 2304430.

来源:高分子材料成型原理

公司:栗昌光电科技(上海)有限公司
地址:上海市亭卫公路6495弄168号5幢1楼2050室
电话:021-69597817
传真:021-69590031

Copyright © 2018 栗昌光电科技(上海)有限公司 All Rights Reserved.