公司新闻 行业动态

一文说透双85(85℃85%RH)测试

日期: 2025-5-23 - 【返回

可靠性测试中经常会遇到做双85测试,特别是电子产品的测试经常会进行双85测试,但是人们通常对双85并不真正了解,我经常在一些论坛和可靠性群里遇到有人在问一些双85测试,但是很不幸,这个世界就是一个巨大的草台班子,很多人都是在胡乱的讲解误导大家,对于真正想了解双85的朋友通常搞得一头雾水最终还是不明觉理。

文章主要介绍下面几部分内容:

双85测试是环境适应性测试还是可靠性测试?


首先我们说环境测试和可靠性测试是两种不同的测试环境测试也叫环境适应性测试,测试结果是Pass(产品投放到市场后能够适应自然界最极端的恶劣环境)和Fail(产品投放到市场后不能适应自然界最极端的恶劣环境)只有这两种结果。而可靠性试验,很好理解了,就是测试产品的可靠度R(t)了,简单直白一点就是测试完了,能够得出一个结论,在t时间的可靠度是多少。

回到问题的开头,双85测试到底是环境适应性测试还是可靠性测试?答案是要看你测试的目的,如果你是作为验证材料、密封性、PCB 涂层、电容、塑料、连接器等对潮湿和高温的耐受性,是否发生氧化、腐蚀、吸湿变形、材料老化等问题那就将其作为环境测试。如果说你是为了评估电子元件在潮湿+高温+工作状态下的可靠性那就将其作为可靠性测试。也就是说测试依赖于你的试验目的。


我们再来说为啥是85,而不是60,70,80,90,100这样的任意数据?其实这个“85/85”组合其实是行业长期经验和标准共识的产物,有其科学和工程上的合理性:85℃,是接近塑料材料、焊锡、密封剂等的热稳定极限,但不会太快导致热熔或翘曲,湿度85%RH,接近空气最大饱和度边缘(90%以上易结露),但仍能维持持续湿热环境而非水滴状态,更容易控制实验重复性。所以85/85就像人们熟知的黄金分割点是0.618一样,多了少了都不好。曾经我在给一家公司讲解HALT试验后,这家的质量经理觉得HALT的理念简直太好了,就回去把以前的双85测试改了,自信满满的给我说,我们做双100测试,显然这是错误的。所以85/85就可以,不要别出心裁的连自己都说不清楚理由的胡乱的改测试参数。


我们再说双85的测试方案设计。这里讲的试验方案设计,无非就是样本量和时间了,因为测试应力基本上就是85/85了。


可参考标准:IEC 60068-2-78、JEDEC JESD22-A101;


测试时间:96~240小时;

样本量:3~5个试验过程中:不开机(模拟关机运输存储)

测试结果判定:1. 外观无明显异常(无裂纹、鼓包、腐蚀);2. 功能检测恢复正常;3. 光学、电气性能恢复后符合规格书要求测试结果:Pass(封装结构、防潮设计合格)或 Fail(出现一个都必须判为Fail)作


可参考标准:JESD22-A110测试时间:500~1000小时样本量:大于10+,通常20+试验过程中:开机运行应力:除了温湿度双85,通常还可以增加电压偏置(THBTest)


试验整个过程中:开机运行

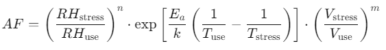
试验结果的处理:采用扩展的扩展 Peck 模型

关于试验数据的处理,首先声明:不能乱套模型中的参数,如果您对您公司的产品温度、湿度和电压加速导致的失效模式的这个加速模型参数完全未知,请不要做这个试验更不要套这个模型,请老老实实的做每个单应力的三水平加速寿命摸清自己产品的模型参数,回头再来做这样的试验。

下面的坑是很多人经常所犯的错误:

假设模型参数:湿度加速指数取3,活化能Ea取0.7ev,电压加速系数取2,Boltzmann 常数 =8.617×10^−5 这个没有什么说的。现在假如10个产品,测试了500小时,出现1个Fail

根据上面的公式计算得出加速因子AF等于425所以MTBF=425*500*10/1=212,5000 小时 ≈ 242 年好,算出这么一个值后,很多人就心里打鼓了,好像我的产品可靠性没有这么好啊?这个MTBF怎么这么奇怪啊?然后就到处问包打听。

正确的做法:

因为这里采用了加速的测试,所以测试结果与MTBF指标毫不相关,因为采用加速测试,必定是Ware-Out型的失效模式,所以用R(t)来衡量。

所以这里假定你的模型参数:Ea=0.7,n=3,m=2这些参数是你自己的产品真实的,不是你包打听得来的,同时还得假设这三个应力对产品影响没有交互效应,那么结论应该这样下

产品在425*500=212,500 小时=24.2年时刻,在90%的置信度下,由温度湿度电应力引起的失效的可靠度,置信下限为R(t)=0.6994

这是一个非常理论化的结果,因为这三个应力对产品是否存在交互效应很难说得清楚,如果需要更加精确的测试结果,需要采用三水平的方式来进行测试及模型拟合。


来源: 公众号 杨振 质量可靠性十万个为什么

公司:栗昌光电科技(上海)有限公司
地址:上海市亭卫公路6495弄168号5幢1楼2050室
电话:021-69597817
传真:021-69590031

Copyright © 2018 栗昌光电科技(上海)有限公司 All Rights Reserved.